Sign up for our daily Newsletter and stay up to date with all the latest news!

Subscribe I am already a subscriber

You are using software which is blocking our advertisements (adblocker).

As we provide the news for free, we are relying on revenues from our banners. So please disable your adblocker and reload the page to continue using this site.
Thanks!

Click here for a guide on disabling your adblocker.

Sign up for our daily Newsletter and stay up to date with all the latest news!

Subscribe I am already a subscriber

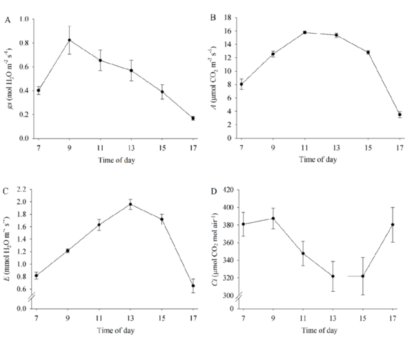
Daily photosynthetic course of Calla Lily plants

The calla lily ornamental plant (Zantedeschia aethiopica) is grown and marketed in many countries. Studies on daily variation in photosynthesis are critical for understanding how a plant behaves in its growing environment.

The objective of this study was to evaluate the daily photosynthetic course of calla lily plants grown in pots in a greenhouse under 50% shade. Gas exchange (gs, A, E, Ci, WUE, iWUE, and iCE) and chlorophyll indices (a, b, and total) were evaluated from 7:00 a.m. to 5:00 p.m. over three days.

The values of all variables were greater at high temperatures (11:00 a.m. to 1:00 p.m.), except for gs, Ci, and chlorophyll b, which were higher at low temperatures (7:00 to 9:00 a.m.) Therefore, it is suggested that calla lily producers maintain the water status between 11:00 a.m. and 1:00 p.m. to optimize photosynthetic processes and, consequently, the growth and development of this plant. Correspondingly, irrigation of this crop should be performed before the interval mentioned above.

Read the complete research at: www.researchgate.net 

Gomes Dias, Marlon & da Silva, Toshik & Cruz, Renata & Barbosa, Lucas & Zanuncio, José & Grossi, José. (2022). DAILY PHOTOSYNTHETIC COURSE OF CALLA LILY PLANTS. REVISTA DE AGRICULTURA NEOTROPICAL. 9. e6962. 10.32404/rean.v9i2.6962.

Publication date:

Related Articles → See More